|
Tamron SP 70-150mm F/2.8 Model 51A: Tamron's fast 70-150
F/2.8 constant aperture zoom lens was specifically designed for portrait
photography, and was the first compact telephoto zoom lens ever produced by any
manufacturer which featured a built-in softness control. This lens is extremely
sharp at all focal lengths when not using the softness control since a total of
six lens elements are used in the variator and compensator groups to reduce
zoom dependent aberrations to their absolute minimum. Although the optical
performance is somewhat optimized for 105mm (the ideal portrait focal length),
this lens's optical performance nevertheless is very good throughout the entire
zoom range.
How does the softness control work? Simply press the SOFT ring
button and then dial in any amount of softness adjustment from zero to three.
The SOFT ring works by shifting the rear-most elements of the master lens group
(the three lenses to the right of the aperture tick marks in the optical above
diagram) to introduce spherical aberration plus small amounts of off-axis coma
and off-axis astigmatism. Some may be wondering, "How accurate is the zero
click stop position of the SOFT ring in order to prevent extremely slight
softness from being introduced even though the SOFT ring is set to the zero
position?" The answer is that Tamron machined the cam for the the three rear
floating elements to produce zero softness effect until you turn the SOFT ring
to approximately 1/4 of the way between the 0 to 1 marks on the SOFT ring.
Our notes about using the SOFT ring (these notes were never
described by Tamron in the lens's accompanying instruction manual):
You have two choices when using the SOFT ring...
- The first choice is NOT to adjust the focus after adjusting
the SOFT ring. This results rapid softening toward the edges of the film plane.
This is suitable in portraiture photography where the head and torso occupy
approximately the central 1/3 of the image frame, yet you want the surrounding
areas (towards the edges of the film plane) slightly to moderately blurred
depending on the SOFT setting.
- The second choice is to adjust the focus after turning the SOFT
ring. This results in a gentler and much more even softening across the
entire film plane. The second choice results in mostly a pure spherical
aberration softness effect being introduced across the entire film
plane. The amount of softening across the entire film plane, of course, is
dependent on the SOFT setting after you have refocused. This procedure is
suitable for tightly cropped head and partial torso portrait photography where
your subject occupies most of the film plane, and where you wish to soften the
extremely fine details across the entire film plane.
Note that, when using the softness ring, you should remember to
always manually stop down this lens and then look through your camera's
viewfinder to verify the overall softness effect for the selected F/stop on the
aperture ring. An even better method is to shoot several test shots of a
subject at the SOFT 0, 1, 2 and 3 settings and at F/2.8, F/5.6 and F/8, and
with no refocusing or after refocusing. Make careful notes, get the resulting
prints (4"x6" is good enough) and label them. Break up the prints into two
groups one group without refocusing, and the other group after
refocusing. Then you have a nice set of labeled "index card" prints which will
show you what to expect. Once you have your "index card" prints and have
learned what to expect from this lens, you will be amazed with your
results.
Lens Specifications:
| Lens Model |
51A |
| Focal Length |
70 150mm |
| Aperture Range |
f/2.8 32, AE |
| Angle of View |
34°~16° |
Optical
Construction (Groups / Elements) |
10 / 14 |
| Min. Focus from Film
Plane |
38.6" (0.98m) |
| Macro Mag. Ratio [w/2X
Converter] |
1:4.6 [1:2.3] |
| Filter Size |
62mm |
| Diameter |
2.7" (67.5mm) |
Length at
 [w/Nikon mount] |
5.8" (147mm) [6.0" (151.5mm)] |
| Weight |
26.8 oz. (760g) |
| Lens Hood |
Built-in type, retractable. |
| Accessory |
Accepts SP 2X tele-converter #01F. |
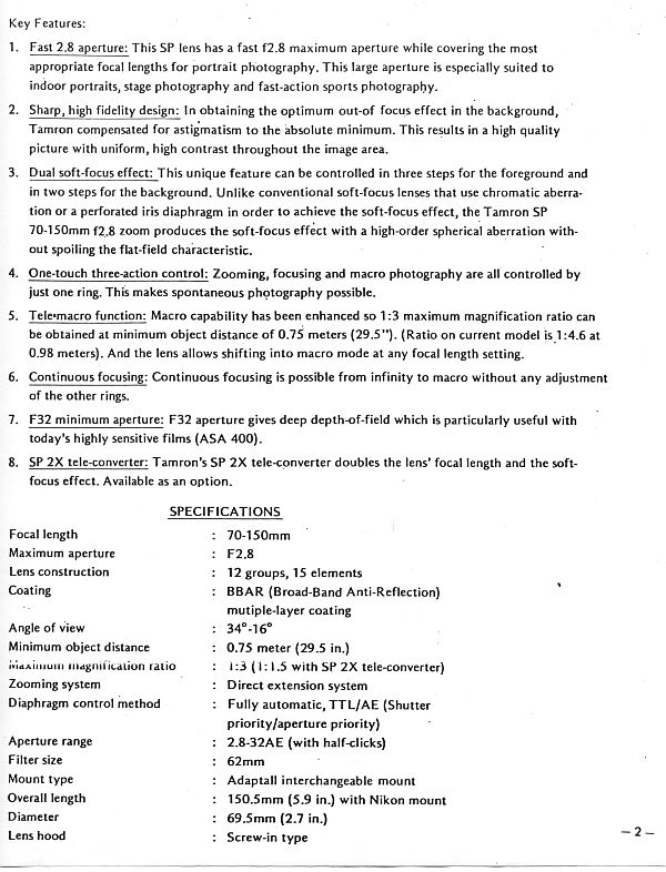
| The SP 70-150
Dual SOFT Lens Which Never Went into Production |
| The pages below are from a Tamron news release
distributed at the 1980 Photokina show. The lens, which never went into
production and of unknown model number, was meant to replace the model 51A. We
have no explanation for why this lens never went into production, but can only
guess that the limited market niche combined with high manufacturing costs were
significant factors in Tamron's decision to cancel production. It certainly
would have been an extremely versatile lens. |
|
|
|